• 方案介绍
  • 相关推荐
申请入驻 产业图谱

一文读懂锁相环基本原理

04/15 15:18
2431
加入交流群
扫码加入
获取工程师必备礼包
参与热点资讯讨论

1、锁相环是什么?

锁相环电路是使一个特殊系统跟踪另外一个系统,更确切的说是一种输出信号在频率和相位上能够与输入参考信号同步的电路,它是模拟及数模混合电路中的一个基本的而且是非常重要的模块。

2、锁相环基本理论

2.1 工作原理

锁相环作为一个系统,主要包含三个基本模块:鉴相器(Phase Detector:PD)、低通滤波器(LowPass Filter:LPF),亦即环路滤波器(L00P Filter:LF),和压控振荡器(Voltage Controlled Oscillator:VCO)。

这三个基本模块组成的锁相环为基本锁相环,亦即线形锁相环(LPLL),如下图所示。

实际中使用的锁相环系统还包括放大器分频器混频器等模块,但是这些附加的模块不会影响锁相环的基本工作原理,可以忽略。

当锁相环开始工作时,输入参考信号的频率 fi 与压控振荡器的固有振荡频率 fo 总是不相同的。这一固有频率差必然引起它们之间的相位差不断变化,并不断跨越2π 角。由于鉴相器特性是以相位差2π 为周期的,因此鉴相器输出的误差电压总是在某一范围内摆动。这个误差电压通过环路滤波器变成控制电压加到压控振荡器上,使压控振荡器的频率 fo趋向 于参考信号的频率 fi ,直到压控振荡器的频率变化到与输入参考信号的频率相等,并满足一定条件,环路就在这个频率上稳定下来。两个频率之间的相位差不随时间变化而是一个恒定的常数,这时环路就进入“锁定”状态。

当环路已处于锁定状态时,如果输入参考信号的频率和相位发生变化,通过环路的控制作用,压控振荡器的频率和相位能不断跟踪输入参考信号频率的变化而变化,使环路重新进入锁定状态,这种动态过程称为环路的“跟踪”过程。而环路不处于锁定和跟踪状态,这个动态过程称为“失锁”过程。

锁相环功能总结

  • 频率牵引
  • 相位锁定

2.2 鉴相器(PD)

锁相环中的鉴相器(PD)通常由模拟乘法器组成,利用模拟乘法器组成的鉴相器电路如图示:

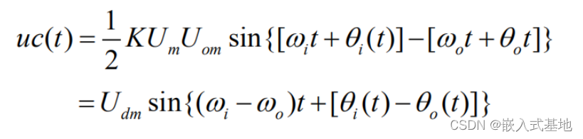
鉴相器的工作原理是:设外界输入的信号电压和压控振荡器输出的信号电压分别为:

公式中的ωO 为压控振荡器在输入控制电压为零或为直流电压时的振荡角频率,称为电路的固有振荡角频率。则模拟乘法器的输出电压UD 为:

鉴相器的作用就是将相位差信号转化为误差电压信号。那么它的传递关系理想上如图所示,最好有一定的线性关系

鉴相器的传输特性

 

2.3 低通滤波器(LF)

低通滤波器(LF)的将上式 中的和频分量滤掉,剩下的差频分量作为压控振荡器的输入控制电压 Uc( t) 。即为:

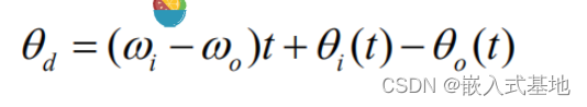
公式中的ωi为输入信号的瞬时振荡角频率, θ1(t) 和 θ2(t) 分别为输入信号和输出信号的瞬时位相,根据相量的关系可得瞬时频率和瞬时位相的关系为:

即:

则,瞬时相位差θd 为:

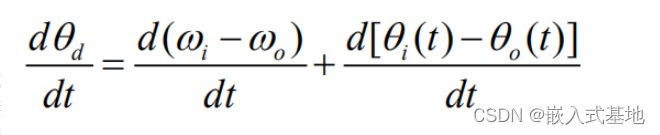
对两边求微分,可得频差的关系式为:

上述公式等于零,说明锁相环进入相位锁定的状态,此时输出和输入信号的频率和相位保持恒定不变的状态, θc(t) 为恒定值。当上式不等于零时,说明锁相环的相位还未锁定,输入信号和输出信号的频率不等,θc(t) 随时间而变。其数学模型为:

 

2.4 压控振荡器(VCO)

压控振荡器是一个受压控电压控制改变输出频率的器件,有一个参数为压控灵敏度,就是压控电压和输出频率的转换系数。

压控振荡器(VCO)的压控(Uc为交流电压)特性如图所示:

2.5 锁相环的工作状态

锁相环有四种工作状态:

  • 锁定状态
  • 失锁状态
  • 捕获过程
  • 跟踪过程

锁定状态

  • 整个环路己经达到输入信号相位的稳定状态。它指输出信号相位等于输入信号相位或者是两者存在一个固定的相位差,但频率相等。在锁定状态时,压控振荡器的电压控制信号接近平缓。

失锁状态

  • 环路的反馈信号与锁相环输入信号的频率之差不能为零的稳状态。当环路的结构设计有问题,或者是输入信号超出了锁相环的应用范围的时候都会进入失锁状态。这个状态意味着环路没有正常工作。

捕获过程

  • 指环路由失锁状态进入锁定状态的过程。这个状态表明环路已经开始进入正常工作,但是还没有达到锁定的稳态。此过程应该是一个频率和相位误差不断减小的过程。

跟踪过程

  • 是指在 PLL 环路处于锁定状态时,若此时输入信号频率或相位因其它原因发生变化,环路能通过自动调节,来维持锁定状态的过程。由于输入信号频率或者相位的变化引起的相位误差一般都不大,环路可视作线性系统。

PLL的这四种状态中,前两个状态称为静态,后两个状态称为动态。优秀的设计可以使 PLL 在上电后立刻进入捕获状态,从而快速锁定。

一般用四个参数指标来描述 PLL 的系统频带性能:

  • 同步带:它指的是环路能保持静态锁定状态的频率范围。当环路锁定时,逐步增大输入频率,环路最终都能保持锁定的最大输入固有频差。
  • 失锁带:锁相环路稳定工作时的动态极限。也就是说 PLL 在稳定工作状态时,输入信号的跳变要小于这个参数,PLL 才能快速锁定。若输入信号的跳变大于该参数而小于捕获带,则环路还是能锁定,但是需要较长的时间。
  • 捕获带:只要反馈信号和输入信号的频差在这一范围内,环路总会通过捕获而再次锁定,随着捕获过程的进行,反馈信号的频率向着输入信号频率方向靠近,经过一段时间后,环路进入快捕带过程,最终达到锁定。
  • 快捕带:在此频差范围内,环路不需要经历周期跳跃就可达到锁定,实现捕获过程。

相关推荐