海拔信息作为衡量地理高度的核心维度,是航空航天、低空经济、测绘勘探、穿戴设备与工业物联网等领域中进行运营决策的重要物理参数。
依托大气静力学平衡与国际标准大气(ISA)模型,气压测高方案凭借离线可用、实时性强、部署成本低、适配性广等独特优势,已成为现阶段测量海拔高度的主流技术路线。
在数字化、智能化、低功耗化的产业发展趋势下,气压测高方案已从单点粗略估算向高精度、高可靠、多源融合、微型化集成的方向持续演进,而数字气压传感器正是将大气压强精准转换为海拔高度的核心感知器件,可提供高精度的气压测量能力与高度解算能力,是驱动技术迭代与场景落地的硬件基石。
HP5834,测量海拔高度的物理感知核心
目前,数字气压传感器已广泛应用于飞行器的高度控制、建筑空间的楼层识别、环境气象的监测预测与登山高度的海拔显示等领域,通过提供稳定可靠的气压参数与高度信息,可为各类智能系统的高度感知、运动控制与安全决策提供关键的数据支撑。
例如,华普微推出的HP5834正是一款实测有效、面向高性能气压测高应用打造的精密气压传感器。
该器件配备高分辨率24位ADC,采用基于I2C接口的MEMS压力传感器,拥有0mBar ~2000mBar的宽压测量范围,压力分辨率可达0.01mBar,压力输出可以通过以帕斯卡分数为单位的输出来解析。
同时,HP5834温度测量范围覆盖﹣40℃至85℃,温度分辨率可达0.01℃,可为高度计算提供精确的温度补偿基础;
在300mBa至1200mBar的气压范围与﹣10℃至60℃的温度区间内,HP5834压力相对精度可达±1.5mBar;绝对精度可达±3.0mBar。
此外,开发者还可通过读写对应寄存器来配置过采样率(OSR 128~4096)来灵活调节HP5834的数据响应速度与测量精度,HP5834的温度与压力转换时间可在4.1~131.1毫秒级范围内调节,以满足不同应用场景对实时性的差异化需求。
在功耗控制方面,HP5834同样表现出色。其供电电压范围为1.8–3.6V,典型测量电流IDDAVP仅为5.3 µA每秒(OSR为256),待机电流低至0.1 µA,非常适合应用于电池供电的可穿戴设备、物联网节点以及微型无人机系统。
注:每一颗HP5834在出厂前均已针对温度测量与压力测量进行灵敏度和零点偏移的单独校准,校准值存储于片上集成的128字节非易失性存储器(NVM)中,并支持自动上电初始化,可大幅简化系统设计流程。
同时,通过I2C数字接口(最高400kHz),外部主控可便捷读取补偿后的压力与温度数据,甚至直接调用内置海拔计算算法,从而减少MCU运算负担,缩短产品开发周期。
数字气压传感器,高性能的气压测高解决方案
数字气压传感器是使用大气压强测量海拔高度的物理入口与数据源头,承担气压信号采集、模数转换、温度补偿、数据输出的全链路功能,直接决定着海拔高度解算的精度、响应速度、稳定性与功耗。
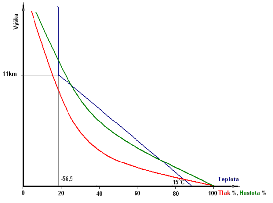
据大气静力学平衡原理,大气静力平衡状态下,气压和密度随高度增加而递减,利用该平衡关系,可通过气压测量推算海拔高度(适用于静止或匀速垂直运动的大气层)。
国际标准大气模型(ISA)中也提出,可以通过气压与温度数据推导出高度值,其核心关系呈指数形式变化。
气压、密度、温度随海拔/高度的变化关系(图源:维基百科)
工程上常用的经验规律表明,在标准对流层环境中,气压每下降约1hPa,对应高度变化约8至9米。
这意味着当压力分辨率提升至0.1hPa时,高度分辨能力即可达到米级;当压力分辨率进一步提升至0.01hPa时,理论高度分辨率可进入分米级区间。
因此,只要数字气压传感器能够高精度、低噪声地获取压力与温度数据,并进行准确补偿与计算,便能够实现高可靠的气压测高功能。
例如,在无人机系统架构中,数字气压传感器通常经I2C串口直接挂载至主控MCU,其输出的高度数据可实时馈入飞控算法参与解算。
基于传感器输出的高度数据,系统可提取高度变化率参数,精准识别异常下坠、快速失高、非预期爬升等故障状态,并触发保护或姿态纠偏机制。
此类对瞬态高度变化量的高灵敏度检测能力,可为无人机在复杂工况下的稳定飞行提供可靠的冗余保障。
983
