• 正文
  • 相关推荐
申请入驻 产业图谱

热分析(结构函数)的数学基础(上篇)

04/21 09:55
168
加入交流群
扫码加入
获取工程师必备礼包
参与热点资讯讨论
在介绍通过瞬态温度响应曲线得到结构函数的过程之前,我们需要先了解一下RC热网络模型和时间常数的概念。这里我们借用一下JESD51-14中对RC热网络模型的描述,假设有一个四周绝热的正立方体,将它和一个理想热沉接触。在其上表面施加一个单位的功率并均匀地分布在表面上,如图1所示。我们将图1中简单的散热结构等效构建成由单个热阻热容构成的网络模型如图2,在图2的模型中热阻和热容为并联回路结构。

我们尝试用图2中这个简单的热模型描述一下瞬态热测试的加热过程。在0时刻给模型施加一个恒定的加热功率P0如图3所示,此时的功率分别流向并联回路中的两条支路,如图4:

我们可以计算一下0时刻后加热阶段温度差△T随时间变化的表达式。首先,我们需要得到状态方程,根据热阻定义,我们可以得到并联回路两端的温度差△T的表达式如下式(1):

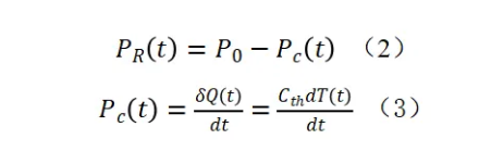
其中PR为流过热阻的功率,因为在0时刻后热容开始吸热,类似电容的充电,所以流过热阻的功率等于总功率减去热容吸收的功率,根据热功率和热容的定义式,我们可以得到式(2)和式(3):

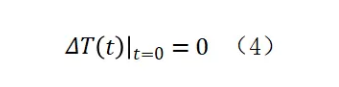
因为加热功率在零时刻施加,所以0时刻时温升为0,可以得到初始条件为式(4):

根据(1)(2)(3)(4)式,我们可以计算出0时刻后加热阶段的温度差△T随时间变化的表达式(5):

有了表达式之后,我们看一下0时刻之后温度差随时间变化的曲线,如下图5:

图 5

在时间t趋向于无穷大时,模型达到热平衡状态,此时的温度差△T等于P0Rth。如果我们将t=RthCth代入到式(5)中,可以得到下式(6)

我们可以发现在t=RthCth时刻的温度差,是热平衡状态温度差的63.2%,如下图6。

我们将这个热阻和热容的乘积定义为时间常数,它的物理意义就是温度变化量达到总温度变化量的63.2%处的时间,在数学上常常使用的符号为τ 。它的定义式就是τ=RthCth,通过定义式我们可以看出,时间常数具有的重要特征是:时间常数只取决于物理特性(热阻与热容),并不取决于输入功率和温度。
下面我们用同样的模型去描述一下瞬态热测试的冷却过程。我们假设冷却阶段从0时刻开始,在0时刻之前我们给模型持续施加一个恒定的加热功率P0,直到模型达到热平衡状态,然后在0时刻将加热功率截止,如下图7。

我们知道在加热功率截止之前的热平衡状态,热容是既不吸收热量也不释放热量的,而在截止之后,因为加热功率已经截止,所以热容会将储存的热量释放传递到热阻,类似于电容的放电,如下图8。

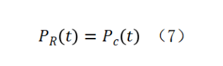
同样,我们可以通过模型现在的状态,计算一下0时刻之后温度差△T随时间变化的表达式。根据前文所述在冷却模型中流过热阻的加热功率,等于热容释放的功率,如下式(7)。

在0时刻的热平衡状态温度差△T的值如下式(8)。

根据式(1)(3)(7)(8),我们同样可以计算出0时刻后冷却阶段的温度差△T随时间变化的表达式(9):

有了表达式之后,我们看一下0时刻之后温度差随时间变化的曲线,如下图9:

加热功率截止后虚线表示的温度差△T开始下降,随着时间的变化无限趋近于0。我们同样将时间常数τ=RthCth带入到表达式中,得到下式:

根据式(10)可以得到,在冷却阶段,时间常数τ时刻的温度差为0时刻温度差的36.8%,换言之,在τ这一时间单位内,温度变化量达到了总温度变化量的63.2%,如下图10所示:

这同样印证了我们在前文中得出的结论,时间常数只取决于物理特性(热阻与热容),并不取决于输入功率和温度。如果我们将式(5)和式(9)联立,就可以得到下式(11)。

根据式(11)我们可以看出,冷却阶段的温度差曲线和加热阶段的温度差曲线是具有对称性的,任一时刻两个阶段的温度差相加,都等于总温度变化量P0Rth,如下图11所示:

在加热阶段和冷却阶段,因为它们具有相同的时间常数,因此在瞬态热测试和分析中,具有相同的效果。
我们了解了RC热网络模型和时间常数的概念之后,我们再来看一下在瞬态热测试中是如何应用的。当我们面对一个RC热网络模型的时候,这个模型相当于一个黑盒子系统。

我们应该如何确定这一个RC热网络模型呢,根据我们前面讲的内容,这个模型在冷却阶段温度差随时间变化的关系如图10。

如上图12,热阻Rth就等于0时刻的温度差△T除以加热功率P0,0时刻的温度差△T是可以通过我们瞬态热测试的结果得到的,而P0就是输入功率,也可以在瞬态热测试过程中通过我们的设备采集得到,那我们就可以计算出热阻Rth。有了热阻值,热容就等于时间常数τ除以热阻,时间常数就是温度变化量达到总温度变化量的63.2%处的时间,所以τ也是可以通过瞬态热测试的结果得到,那么热容值也可以被计算出来。最终我们就可以通过热阻和热容这两个重要参数确定RC热网络模型了。

相关推荐

登录即可解锁
  • 海量技术文章
  • 设计资源下载
  • 产业链客户资源
  • 写文章/发需求
立即登录

欧智造成立于2020年8月,力求在电子热管理领域进行共性技术创新,构建完整TDA(Thermal Design Automation)工具生态链,涵盖测量→建模→仿真→应用→数字资产,形成被全世界广泛接受的热数字孪生技术体系,成为TDA行业的世界级领先企业。

微信公众号