扫码加入

  • 方案介绍
  • 相关推荐
申请入驻 产业图谱

电子设计大赛-电源电路

02/11 16:15
821
加入交流群
扫码加入
获取工程师必备礼包
参与热点资讯讨论

文末下载完整资料

集成直流稳压电源的设计

直流稳压电源电子设备的能源电路,关系到整个电路设计的稳定性和可靠性,是电路设计中非常关键的一个环节。本节重点介绍三端固定式(正、负压)集成稳压器、三端可调式(正、负压)集成稳压器以及DC-DC电路等组成的典型电路设计。

直流稳压电源的基本原理

直流电源电路一般由电源变压器整流滤波电路稳压电路所组成。如图3.1.1所示。

在这里插入图片描述

电源变压器的作用是将电网220V的交流电压变成整流电路所需要的电压U1 。
整流电路的作用是将交流电压U1变换成脉动的直流U2,它主要有半波整流全波整流方式,可以由整流二极管构成整流桥堆来执行,常见的整流二极管有IN4007、IN5148等,桥堆有RS210等。滤波电路作用是将脉动直流U2滤除纹波,变成纹波小的U3,常见的电路有RC滤波、KL滤波、∏型滤波等,常用的选RC滤波电路。其中它们的关系为:

在这里插入图片描述

其中, n分别为变压器的变比。

在这里插入图片描述

每只二极管或桥堆所承受的最大反向电压

在这里插入图片描述

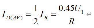
对于桥式整流电路,每只二极管的平均电流

在这里插入图片描述

RC滤波电路中,C的选择应适应下式,即RC放电时间常数应满足: RC=(3~5)T/2 式中T为输入交流信号周期;R整流滤波电路的等效负载电阻。稳压的作用是将滤波电路输出电压经稳压后,输出较和稳定的电压。常见的稳压电路有三端稳压器、串联式稳压电路等。
常用的整流滤波电路有全波整流滤波、桥式整流滤波、倍压整流滤波电路如图3.1.2。

在这里插入图片描述
三端固定式正压稳压器

国内外各厂家生产的三端(电压输入端、电压输出端、公共接地端)固定式正压稳压器均命名为78系列,该系列稳压器有过流、过热和调整管安全工作区保护,以防过载而损坏。其中78后面的数字代表稳压器输出的正电压数值(一般有05、06、08、09、10、12、15、18、20、24伏共9种输出电压),各厂家在78前面冠以不同的英文字母代号。78系列稳压器最大输出电流分100mA、500mA、1.5A三种,以插入78和电压数字之间的字母来表示。插入L表示100mA、M表示500mA,如不插入字母则表示1.5A。此外,78(L、M)××的后面往往还附有表示输出电压容差和封装外壳类型的字母。常见的封装形式有TO-3金属和TO-220的塑料封装,如图3.1.3所示。金属封装形式输出电流可以达到5A。

(a)金属封装 (b)塑料封装图3.1.3 常见三端稳压器的封装形式

三端固定式稳压器的基本应用电路如图3.1.4所示,只要把正输入电压UI加到MC7805的输入端,MC7805的公共端接地,其输出端便能输出芯片标称正电压UO。实际应用电路中,芯片输入端和输出端与地之间除分别接大容量滤波电容外,通常还需在芯片引出脚根部接小容量(0.1µF~10µF)电容Ci、Co到地。Ci用于抑制芯片自激振荡,Co用于压窄芯片的高频带宽,减小高频噪声。Ci和Co的具体取值应随芯片输出电压高低及应用电路的方式不同而异。

在这里插入图片描述
三端固定式负压稳压器

三端固定式负压稳压器命名为79系列,79前、后的字母、数字意义与78系列完全相同。图3.1.5所示为79的基本应用电路(以MC7905为例)。图中芯片的输入端加上负输入电压UI,芯片的公共端接地,在输出端得到标称的负输出电压UO,电容Ci用来抑制输入电压UI中的纹波和防止芯片自激振荡,Co用于抑制输出噪声。D为大电流保护二极管,防止在输入端偶然短路到地时,输出端大电容上储存的电压反极性加到输出、输入端之间而损坏芯片。

在这里插入图片描述
三端可调式稳压器

三端(输入端、输出端、电压调节端)可调式稳压器品种繁多,如正压输出的317(217/117)系列、123系列、138系列、140系列、150系列;负压输出的337系列等。LM317和LM337的封装形式和引脚如图3.1.6所示。LM317系列稳压器能在输出电压为1.25V~37V的范围内连续可调,外接元件只需一个固定电阻和一个电位器。其芯片内也有过流、过热和安全工作区保护。最大输出电流为1.5A。其典型电路如图3.1.7(a)所示。其中电阻R1与电位器RP组成电压输出调节电位器,输出电压UO的表达式为: UO=1.25(1+Rp/Rl)式中,R1一般取值为(120~240Ω),输出端与调整压差为稳压器的基准电压(典型值为1.25V),所以流经电阻R1的泄放电流为5~10mA。

在这里插入图片描述

与LM317系列相比,负压输出的LM337系列除了输出电压极性、引脚定义不同外、其他特点都相同,典型电路如图3.1.7(b)。

在这里插入图片描述

更多电赛资料

在这里插入图片描述
在这里插入图片描述

 

在这里插入图片描述

 

在这里插入图片描述

 

在这里插入图片描述

 

全套资料免费下载:
关注v-x-公-众-号:【嵌入式基地
后-台-回-复:【电赛】 即可获资料
回复【编程】即可获取
包括有:C、C++、C#、JAVA、Python、JavaScript、PHP、数据库、微信小程序、人工智能、嵌入式、Linux、Unix、QT、物联网、算法导论、大数据等资料

在这里插入图片描述

电子设计大赛资料分享:
https://pan.baidu.com/s/14qxwGv7Sq6a_jcMT3mNwtw#list/path=%2F

提取码:jdxj

相关推荐