扫码加入

  • 正文
  • 相关推荐
申请入驻 产业图谱

电压放大器基于双光束偏振复用的干涉仪研究实验的应用

03/20 15:48
313
加入交流群
扫码加入
获取工程师必备礼包
参与热点资讯讨论

实验名称:基于双光束偏振复用的干涉仪连续相位锁定研究

实验目的:本研究旨在验证基于双光束偏振复用的干涉仪连续相位锁定方案的有效性。通过构建共路干涉光路与反馈控制系统,重点验证该方案实现全周期连续相位锁定的能力,并评估其锁相精度、信噪比及动态响应特性,为精密光学测量提供一种高稳定性、宽动态范围的相位锁定技术方案。

测试设备:马赫-曾德尔干涉仪光学平台(半导体激光器、偏振控制元件、分束器、偏振分束器、压电反射镜、电光调制器)、反馈控制系统(平衡探测器、模拟PID控制器、ATA-2088高压放大器)以及信号生成与采集系统(信号发生器示波器频谱分析仪)。

实验过程:本研究通过构建双光束偏振复用干涉系统,结合理论分析与实验测量,系统验证了连续相位锁定方案的性能。理论层面解析了基于电光调制器与PID反馈的全周期锁定机制;实验上,搭建光学平台并进行了全周期相位扫描、信噪比及动态响应测试。结果表明,该系统实现了0-2π范围内的连续稳定锁定,精度达0.19°,并具备良好的动态性能与脉冲光兼容性,有效验证了该方案在精密光学测量中的实用价值。

图1基于双光束偏振复用的干涉仪连续相位锁定实验装置图

(a)系统光路图,(b)系统实物图

实验结果:

图2探测端(BD2)输出干涉信号在相位锁定前后的强度差变化

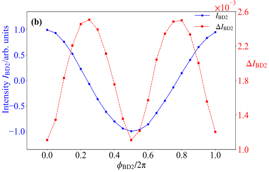
图3锁相状态下探测端(BD2)干涉信号在全周期相位下归一化的强度均值(实线)及标准差IBD2(虚线)

图4探测端(BD2)在全周期范围内的相位锁定精度,其中虚线表示全周期锁相精度的平均值

图5连续扫相下(实线)和离散相位锁定点(散点)的信噪比

图6(a)系统在连续光条件下的动态锁相性能;(b)系统在脉冲光条件下的动态锁相性能

实线表示探测端(BD2)输出干涉信号强度差,虚线表示EOM的驱动电压幅值

电压放大器推荐:ATA-2088

图:ATA-2088高压放大器指标参数

本资料由Aigtek安泰电子整理发布,更多案例及产品详情请持续关注我们。西安安泰电子Aigtek已经成为在业界拥有广泛产品线,且具有相当规模的仪器设备供应商,样机都支持免费试用。

相关推荐