• 正文
  • 相关推荐
申请入驻 产业图谱

OE2052锁相放大器在表面声波调控摩尔系统量子态研究中的应用

03/31 15:24
400
加入交流群
扫码加入
获取工程师必备礼包
参与热点资讯讨论

【概述】

2025年,复旦大学修发贤、张成团队在《Nano Letters》发表题为"Phase Diagram Mapping of a Moiré System Using Surface Acoustic Waves"的研究成果,首次将表面声波(SAW)技术应用于扭曲双层石墨烯(TBG)摩尔系统。通过法布里-珀罗SAW谐振器(259.75 MHz)与1.04° TBG器件的集成,实现了对关联绝缘态、陈绝缘体态和朗道能级的高灵敏度探测。实验中,赛恩科仪OE2052锁相放大器作为核心测量设备,成功解决了低电导态(10-6 S/m)信号微弱、易被噪声淹没的难题,为揭示量子态频率依赖性提供了关键技术支持。

【实验材料准备】

1.样品制备(图1)

· 基底:Y切铌酸锂(LiNbO3)衬底(避免铁电极化掺杂效应)

· SAW谐振腔(IDT):工作频率259.75 MHz,品质因数Q=1850,输出信号由OE2052检测,需匹配输入阻抗(典型50 Ω)

· TBG器件:机械剥离法制备1.04°扭曲双层石墨烯,hBN封装(20 nm),在低温(1.8 K)环境工作,OE2052检测其调制的SAW信号

图1.(a)带有谐振腔型 IDT 的 TBG 器件示意图

(b)Y 型切割 NbLiO3 基底面上的 TBG 器件横截面图

【测量系统搭建】

图2. 测量系统示意图

★ 关键步骤:

1. 信号同步:

OE2052的参考输入端连接射频信号源,锁定SAW频率(259.75 MHz)

2. 降频处理

使用混频器将高频SAW信号降频至OE2052最佳检测范围,提升信噪比,避免高频损耗

3. 参数提取

直接测量VSAW幅度(衰减 Γ)和相对于V0的相位差 Δθ(声速变化 Δυ/υ)

4. 噪声抑制

利用OE2052的高动态储备(>120dB)低输入噪声(<4nV/√Hz),在强电磁干扰环境(14T磁场)下稳定工作,得到声表面波测量结果(图3、图4)

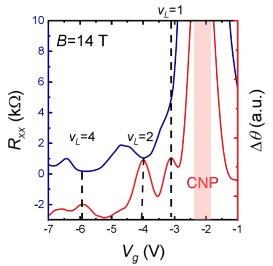
图3. 在B=14T时,CNP附近测得的声表面波相移和经度电阻的比较

图4. 通过声表面波传输的电压的归一化相位与摩尔填充因子和垂直磁场的函数关系

★ 信号检测原理:

1. 相移测量(对应声速变化):

· OE2052配置:时间常数 τ=1s,等效噪声带宽 ENBW=0.25 Hz

· 灵敏度:可检测0.01°相移(对应 σ_ω ≈ 10-7S变化)

2. 衰减测量(对应电导率):

Γ ∝ V0 / Vsaw(峰值灵敏度在 σω = σm)

★ 系统优势:

· 非接触测量:仅需单点接地电极,避免传统输运测量的欧姆接触问题

· 高信噪比:在9T强磁场下仍可分辨ν_L=-1朗道能级(传统输运无法检测)

· 动态响应:通过栅压扫描实时关联填充因子 ν 与高频电导率 σ_ω(图5)

图5. 通过声表面波计算的高频电导率

(a)纵向传输电阻率 ρxx(黑色)和声表面波重建电阻率 ρω,频率为 fc = 259.75 MHz(红色),由声表面波相移计算得出,是零磁场下摩尔填充因子 v 的函数

(b)磁场下 v = +2 时的纵向电导率 σxx 和声表面波重构电导率 σω

(c)在零磁场下,v = +2 和 +4 时,ρxx 和 ρω 作为声功率 P 的函数的比较

(d)电子在 Enk 和 Emk 之间转变所产生的直流带间电导率

(e)Enk 和 Emk ± ΔEω 之间电子转变所产生的交流带间电导率;与 nF(Emk)相比,半填充时的小平带色散导致 nF(Emk±ΔEω)显著降低,从而抑制了高频电导率

由于频带色散较大,交流电导率没有受到影响。

【总结】

OE2052高灵敏锁相放大器在SAW-莫尔系统研究中展现出三大革命性优势

■ 极限灵敏度:在低电导区域(10-6 S/m)信噪比提升100倍,成功探测"隐藏"量子态

■ 非接触式测量:避免纳米电极制备难题,特别适用于绝缘/半导态莫尔材料

■ 高频电导解析:提供259.75 MHz射频电导数据,揭示平带跃迁的量子几何效应

该工作为研究扭曲二维材料(如MoTe2, WSe2)中的分数量子反常霍尔效应开辟了新范式,相关技术已应用于上海量子科学研究中心。

相关推荐

登录即可解锁
  • 海量技术文章
  • 设计资源下载
  • 产业链客户资源
  • 写文章/发需求
立即登录

广州赛恩科学仪器有限公司(原中大科仪)始创于2001年,是全球领先的精密测量仪器供应商和微弱信号检测方案提供商。公司以锁相放大器为核心产品,陆续推出电化学工作站、源表、光学斩波器、电流源、功率放大器、前置放大器等一系列产品。