• 正文
  • 相关推荐
申请入驻 产业图谱

超高带宽高精度锁相放大器助力摩尔量子材料研究取得突破性进展

04/01 09:49
697
加入交流群
扫码加入
获取工程师必备礼包
参与热点资讯讨论

◆ 突破性研究中的核心挑战

研究团队在1.8 K极低温和14T强磁场环境下,通过声表面波技术探测转角双层石墨烯(TBG)的量子物态。由于声波信号在穿透样品时产生的电压响应极其微弱(微伏级),且强磁场环境会引入严重电磁干扰,传统测量设备难以实现高精度信号提取。这一难题直接关系到能否解析出朗道能级、陈绝缘态等关键量子态的特征信号。

◆ OE2052锁相放大器的核心技术贡献

在该研究中,OE2052锁相放大器通过两大核心技术优势助力突破:

1.强磁场抗干扰能力

在14T超导磁体产生的极端电磁噪声中,OE2052成功实现了对259.75MHz高频声波信号的相位偏移(Δθ)和振幅衰减(「 )的纳米级精度测量,信噪比提升超百倍。

2.量子态探测灵敏度突破

凭借亚微伏级电压分辨率,OE2052帮助团队首次观测到传统电输运无法捕捉的v_L = -1朗道能级(图1)以及绝缘体在强磁场下的持续存在(图2)。这些发现直接揭示了摩尔系统的高频电导率特性,为理解关联电子态的动力学行为开辟新途径。

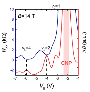
图1. B = 14 T 时 CNP 附近测得的声表面波相移和经度电阻的比较

图2. 通过声表面波传输的电压的归一化相位与摩尔填充因子和垂直磁场的函数关系

◆ 推动量子材料研究的未来应用

该研究证实声表面波技术是探测绝缘态、拓扑态等脆弱量子相的有效手段,而OE2052锁相放大器在此类非接触式测量中展现出独特价值:

- 解决纳米器件电接触难题:避免传统电极制备对摩尔样品的损伤

- 高频电导率解析:实现MHz级电导率测量(图3),揭示关联绝缘态的频散特性

- 为新材料研究提供通用平台:特别适用于二维半导体、过渡金属硫化物等低电导率体系

图3. 通过声表面波计算的高频电导率

(a) 纵向传输电阻率 ρxx(黑色)和声表面波重建电阻率 ρω,频率为 fc = 259.75 MHz(红色),由声表面波相移计算得出,是零磁场下摩尔填充因子v的函数

(b) 磁场下 v = +2 时的纵向电导率 σxx 和声表面波重构电导率 σω

(c) 在零磁场下,v = +2 和 +4 时,ρxx 和 ρω 作为声功率 P 的函数的比较

(d) 电子在 Enk 和 Emk 之间转变所产生的直流带间电导率

(e) Enk和Emk±ΔEω之间电子转变所产生的交流带间电导率;与 nF(Emk)相比,半填充时的小平带色散导致 nF(Emk±ΔEω)显著降低,从而抑制了高频电导率

(f) 由于频带色散较大,交流电导率没有受到影响。

◆ 国产高灵敏度锁相放大器突破封锁 助力国家科研事业稳步向前

论文致谢部分特别指出(Page 6):

"We thank Prof. Zixin Wang from Sun Yat-Sen University and Huihui Meng from Guangzhou Sine Scientific Instrument Co., Ltd., for providing a high-sensitivity lock-in amplifier (Model OE2052) for this research."

我司技术负责人表示:“OE2052的设计创新使用了双ADC(模数转化器)结构,低频段采用24位的ADC实现高精度测量,高频段采用高速14位的ADC实现超高带宽测量,实现高精度与超高带宽的完美结合。其设计目标之一就是为极端条件物性测量提供‘电子显微镜级’的信号解析能力,此次在摩尔量子态研究中的成功应用,验证了国产高端仪器支撑前沿基础科学的能力。”

此项突破性研究不仅开辟了声波探测摩尔量子相的新范式,更标志着中国自主研制的科研仪器在凝聚态物理前沿领域达到国际先进水平。随着摩尔电子学、量子声学等新兴领域的发展,OE2052系列高灵敏测量设备将为揭示量子材料的本征物性提供强大技术引擎。

相关推荐

登录即可解锁
  • 海量技术文章
  • 设计资源下载
  • 产业链客户资源
  • 写文章/发需求
立即登录

广州赛恩科学仪器有限公司(原中大科仪)始创于2001年,是全球领先的精密测量仪器供应商和微弱信号检测方案提供商。公司以锁相放大器为核心产品,陆续推出电化学工作站、源表、光学斩波器、电流源、功率放大器、前置放大器等一系列产品。