扫码加入

  • 正文
  • 相关推荐
申请入驻 产业图谱

电源设计最实用的公式解析!

01/26 15:07
227
加入交流群
扫码加入
获取工程师必备礼包
参与热点资讯讨论

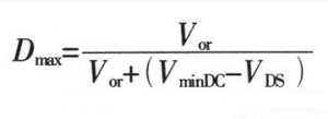
MOSFET开关管工作的最大占空比Dmax:

式中:Vor为副边折射到原边的反射电压,当输入为AC 220V时反射电压为135V;VminDC为整流后的最低直流电压;VDS为MOSFET功率管导通时D与S极间电压,一般取10V。

变压器原边绕组电流峰值IPK为:

式中:η为变压器的转换效率;Po为输出额定功率,单位为W。

功率开关管的选择

开关管的最小电压应力UDS,一般选择DS间击穿电压应比式计算值稍大的MOSFET功率管

变压器磁芯

反激式变换器功率通常较小,一般选用铁氧体磁芯作为变压器磁芯,其功率容量AP为:

式中:AQ为磁芯窗口面积,单位为cm2;Ae为磁芯的有效截面积,单位为cm2;Po是变压器的标称输出功率,单位为W;fs为开关管的 开关频率;Bm为磁芯最大磁感应强度,单位为T;δ为线圈导线的电流密度,通常取200~300A/cm2,η是变压器的转换效率;Km为窗口填充系数, 一般为0.2~0.4;KC为磁芯的填充系数,对于铁氧体为1.0。根据求得的AP值选择余量稍大的磁芯,一般尽量选择窗口长宽之比较大的磁芯,这样磁芯的窗口有效使用系数较高,同时可以减少漏感

磁芯损耗

磁芯损耗取决于工作频率、工作磁感应强度、电路工作状态和所选用的磁芯材料的性能。对于双极性开关变压器,磁芯损耗PC:

式中:Pb为在工作频率、工作磁感应强度下单位质量的磁芯损耗(W/kg); Gc为磁芯质量(Kg)。对于单极性开关变压器,由于磁芯工作于磁滞回线的半区,所以磁芯损耗约为双极性开关变压器的一半。变压器总损耗为总铜耗与磁芯损耗之和。

相关推荐