• 正文
  • BOM清单
  • 相关推荐
申请入驻 产业图谱

OE1022锁相放大器在拓扑 Kagome 超导体 CsV3Sb5非互易电荷传输中的应用

03/26 14:09
387
加入交流群
扫码加入
获取工程师必备礼包
参与热点资讯讨论

【概述】

2022 年,上海科技大学李军研究员团队在Research Square 发表了一篇题为《Nonreciprocal Charge Transport in Topological Kagome Superconductor CsV3Sb5》文章,报道了超导 CsV3Sb5薄片中强烈的非互易输运现象。 二次谐波电压主要源于涡旋运动的整流效应,是由面内和面外磁场明确产生的,其幅度与非中心对称超导体相当。 二次谐波磁阻分裂成几个峰值,其中一些通过使超导过渡内的磁场或电流倾斜而反转它们的符号。 特殊非互易输运现象的涡旋动力学由非常规超导配对对称性主导,为探索  CsV3Sb5 中可能的拓扑超导性提供了一条有希望的途径。

【样品 & 测试】

传输测量在 PPMS 中进行。四端直流和交流信号分别由 Keithley 2400 和 2182a 组以及Keithley 6221 和 OE1022 锁定放大器组测量。一次和二次谐波电阻定义为Rω = Vω/I0和R2ω = V2ω/I0,其中I0是幅度是施加的交流电流的幅度,以及一次和二次谐波电压的 Vω和 V。电流频率设置为 113 Hz 以降低噪声,二次谐波信号的相位设置为 π/2。

图1. 超导表征. (a) CsV3Sb5 晶体结构.(b) 覆盖有 h-BN 的样品的光学图像.(c) 归一化电阻与不同厚度温度的函数关系.(d) 80 nm 厚样品的霍尔电阻(红色)和微分电阻(蓝色)的温度依赖性。

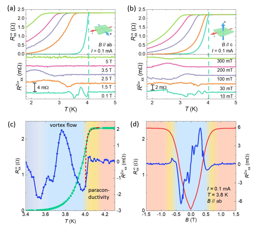
图2.  (a) (b)分别沿 ab 平面和 c 轴应用的 B 下的第一(顶部)和第二(底部)谐波信号的 R - T 曲线。 虚线是二次谐波信号起始温度的指南。

(C)B = 0.1 T 下  - T 曲线的过渡区域。红色虚线是顺导贡献的 Aslamazov-Larkin 拟合曲线。

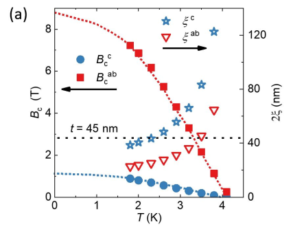
图3. 磁场和温度的关系。

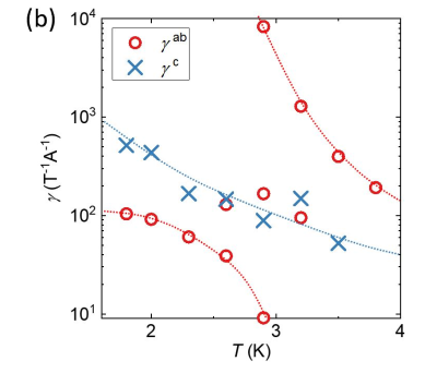
图4. 相干长度和非线性系数。

图5. 当前对非互易性的依赖。

【总结】

我们研究了超导 CsV3Sb5薄片中的非互易传输。 随着晶体厚度的减小,我们发现随着与CDW的竞争,超导性先增强后抑制。 当超导发生时,可以检测到强烈的非互易信号,其强度可与人工结构化或非中心对称的超导体相媲美。 二次谐波电阻可以观察为沿 ab 平面和 c 轴的磁场,这基本上可以归因于涡旋棘轮运动。 相对于磁场的非互易信号分裂成几个与磁场不对称的峰系列。 顺导区域的非互易性可以反映超导的本征性质。 我们认为破坏反转对称性的拓扑带和表面状态可能会在 CsV3Sb5 超导体中引起磁手性。

BOM清单

更多器件
器件型号 数量 器件厂商 器件描述 数据手册 ECAD模型 风险等级 参考价格 更多信息
OE1022 1 锁相放大器 未精准适配到当前器件信息,点击查询推荐元器件

相关推荐

登录即可解锁
  • 海量技术文章
  • 设计资源下载
  • 产业链客户资源
  • 写文章/发需求
立即登录

广州赛恩科学仪器有限公司(原中大科仪)始创于2001年,是全球领先的精密测量仪器供应商和微弱信号检测方案提供商。公司以锁相放大器为核心产品,陆续推出电化学工作站、源表、光学斩波器、电流源、功率放大器、前置放大器等一系列产品。