扫码加入

  • 正文
  • 相关推荐
申请入驻 产业图谱

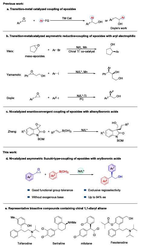
Ni催化苯基环氧乙烷与芳基硼酸对映选择性的铃木-宫浦反应

7小时前
151
加入交流群
扫码加入
获取工程师必备礼包
参与热点资讯讨论

 研究背景

有机硼化合物是重要的合成砌块,铃木-宫浦交叉偶联是构建C-C键的可靠方法,在药物化学和材料科学中应用广泛。环氧化物作为有机合成中的优势砌块,其不对称开环是构建手性醇的实用策略,也是药物、天然产物和农用化学品的关键中间体。而现有环氧化物不对称开环策略多依赖动力学拆分或内消旋体去对称化,且常使用有机锂/格氏试剂,存在反应条件苛刻、官能团耐受性有限的问题;外消旋环氧化物的手性催化剂控制立体汇聚型C-C键形成反应仍具研究价值。虽已有过渡金属催化环氧化物与芳基亲电试剂的不对称还原偶联研究,但外消旋环氧化物与芳基硼酸的对映选择性偶联通用方法仍十分稀缺,因此开发新型过渡金属催化的不对称铃木-宫浦交叉偶联具有重要的合成和科学意义。

 核心问题

开发无外源碱、镍催化的苯乙烯环氧化物与芳基硼酸的对映选择性铃木-宫浦型偶联反应,解决现有环氧化物C-C键形成反应的局限。

明确该偶联反应的反应机理,包括立体化学控制、关键中间体及反应路径。

验证该反应的底物普适性、官能团耐受性,并探索其在药物合成中的实际应用价值。

 研究方法和主要内容

反应条件优化与核心结果

以4-联苯硼酸(1a)和苯乙烯环氧化物(2a)为模型底物,对镍催化剂、手性配体、反应温度等条件进行系统优化,核心结果如下:

- 最优反应条件:8 mol% NiBr₂(diglyme)为催化剂,10 mol% L12为手性配体,15 mol% NaI为添加剂,乙醇为溶剂(0.4 M),50℃氩气氛围下反应10 h,目标产物分离产率78%,对映体过量值(ee)93%。

- 关键因素:配体的空间和电子效应显著影响反应活性和立体控制,手性双咪唑啉(BiIm)配体L12为最优配体;降低温度至50℃可提升对映选择性,进一步降至40℃则反应活性显著下降;镍源对反应影响较小,Ni(ClO₄)₂·6H₂O、NiCl₂(DME)均能获得高收率和优异对映选择性;对照实验证实,镍催化剂和手性配体为反应必需,无二者时无产物生成。

底物范围与官能团耐受性

 (1)芳基硼酸底物

含给电子基团(苯基、醚基、硅基)、吸电子基团(氟、三氟甲基)的芳基硼酸均能顺利反应;硫醚、醛、酮、酯、酰胺、氨基等合成价值较高的官能团,以及氯、溴、碘等卤素取代基均能良好耐受,产物收率54%~82%,ee值89%~94%,卤素保留为后续衍生化提供可能;含氮、氧、硫的杂环芳基硼酸(苯并呋喃、苯并噻吩、吲哚、吡啶等)也具有兼容性,适用于生物活性分子合成。邻位取代的芳基硼酸仅生成痕量目标产物,推测为位阻效应所致。

 (2)苯乙烯环氧化物底物

含氟、氯、溴、三氟甲氧基、甲氧基、叔丁基、酯基等取代基的苯乙烯环氧化物均能与反应兼容,以中等至良好收率得到相应手性产物,且具有满意的对映选择性;邻位取代的苯乙烯环氧化物反应活性有限。

 (3)拓展底物

苯乙烯基氮丙啶可作为替代偶联伙伴,与多种芳基硼酸顺利反应,以中等收率和满意的对映选择性得到相应手性产物,拓展了催化体系的适用范围。

反应机理研究

通过一系列对照实验、自由基捕获实验、非线性效应分析等,明确反应遵循立体汇聚型自由基机理,关键结论如下:

立体汇聚型路径:对映纯的(R)-和(S)-苯乙烯环氧化物在最优条件下均生成相同产率和ee值的目标产物,产物绝对构型仅由手性配体决定,与起始环氧化物的立体化学无关。

环氧化物活化:NaI为环氧化物活化的必需试剂,无NaI时无产物生成;高分辨质谱(HRMS)检测到碘代醇中间体,反应依赖原位生成的低浓度碘代醇中间体,且反应所需碱为环氧化物活化开环过程中原位生成的烷氧基阴离子。

自由基中间体:加入自由基清除剂TEMPO可完全抑制反应,且HRMS检测到TEMPO捕获的加合物;加入DMPO后电子顺磁共振(EPR)分析检测到自由基信号,证实反应涉及自由基中间体。

催化活性物种:非线性效应分析表明,产物ee值与手性配体ee值呈线性关系,且配体负载量改变不影响对映选择性,说明镍中心与单个手性配体配位形成催化活性物种。

推测反应路径:芳基硼酸与烷氧基镍(I)物种发生转金属化生成芳基镍(I)中间体;苯乙烯环氧化物在NaI和乙醇作用下开环生成碘代醇中间体和烷氧基钠;碘代醇与芳基镍(I)发生氧化加成生成烷基自由基和镍(II)物种;烷基自由基氧化镍(II)生成有机镍(III)中间体,最终经还原消除得到目标产物。

合成实用性验证

生物活性分子后期修饰:雌酮衍生的苯乙烯环氧化物、吲哚美辛衍生的芳基硼酸均能顺利参与反应,分别以56%收率(非对映选择性dr=94.5:5.5)和63%收率(90% ee)得到目标产物,体现反应在复杂分子后期修饰中的应用价值。

放大反应与药物合成:将反应放大后仍能以良好收率和优异ee值得到产物;产物可进一步转化为药物中间体,并通过已有方法合成(+)-茚达曲林(非选择性单胺转运体抑制剂)和(+)-舍曲林(临床抗抑郁药物)。

克级规模:反应可实现规模放大,且保持良好的产率和对映选择性,满足合成应用需求。

 结论

开发了一种实用的无外源碱、镍催化的苯乙烯环氧化物与芳基硼酸的对映选择性铃木-宫浦型偶联反应,反应具有高区域选择性和优异的对映选择性,底物范围广,官能团耐受性强,适用于含氮、氧、硫的杂环底物。反应可高效构建手性1,1-二芳基烷烃骨架,成功应用于生物活性分子的后期修饰,且能合成手性药物前体,可进一步转化为临床药物(如舍曲林)。催化体系还可拓展至苯乙烯基氮丙啶与芳基硼酸的偶联,高效构建含手性1,1-二芳基基序的杂原子骨架,为药物、农用化学品和天然产物中关键的手性二芳基醇和胺类化合物的合成提供了新途径。

相关推荐

登录即可解锁
  • 海量技术文章
  • 设计资源下载
  • 产业链客户资源
  • 写文章/发需求
立即登录

成都西蒙至简科技有限公司是由天府绛溪实验室孵化的创新型科研服务平台,公司融合产学研优势,提供第一性原理、量子化学、分子动力学、有限元仿真等各大类模拟计算与CPU/GPU租赁、服务器定制、集群搭建等超算服务、各大类实验检测与数据分析、培训与技术解决方案。团队成员多数来自电子科技大学和绛溪实验室,涵盖物理学、理论化学、计算化学、计算材料科学、数值模拟与人工智能等学科的资深专家,熟悉材料、化工、能源、生物医药等诸多领域,通过精准梳理行业痛点,提供高效落地的研发解决方案,助力高校、科研院所以及相关企业实现降本增效、研发升级及创新能力的突破。