• 正文
  • 相关推荐
申请入驻 产业图谱

吸附能与d带中心

04/13 17:19
2105
加入交流群
扫码加入
获取工程师必备礼包
参与热点资讯讨论

d带中心理论由Nørskov等人在20世纪90年代基于密度泛函理论(DFT)提出,是现代表面催化学科的奠基性框架。它将过渡金属催化剂的电子结构(d轨道电子分布)与宏观吸附行为、催化活性直接定量关联,为从试错法向理性设计转变提供了核心工具。该理论的核心洞见在于:催化剂表面吸附能并非孤立现象,而是由d带中心(εd)这一电子描述符精准调控的εd位置决定了金属d轨道与吸附质轨道间的杂化强度,从而决定反应中间体的结合强度。吸附过强会导致表面中毒或脱附困难,吸附过弱则无法有效活化反应物;d带中心正是实现适中吸附的电子开关,帮助我们理解Sabatier原理的微观本质,并在HER、ORR、CO₂还原等清洁能源反应中指导高效催化剂设计。

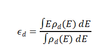
d带中心(εd)的精确定义是d轨道态密度ρd(E)的能量加权平均值,数学表达式为:

其中积分范围通常取费米能级E_F以下的d带区域,εd相对于EF的位置是关键。当εd更靠近EF(上移)时,未占据d轨道增多,反键轨道填充度降低,吸附键增强;反之,下移则反键轨道被更多电子占据,吸附削弱。这一公式通过DFT计算的投影态密度(PDOS)即可精确获得,为实验表征(如XPSUPS)提供了理论锚点。吸附能(ΔE_ads)则定义为吸附前后体系总能之差(负值表示放热吸附),二者呈现强线性相关:ΔE_ads ∝ ε_d(R² > 0.8)。

https://www.nature.com/articles/s41524-022-00846-z

d带中心调控吸附能的机制源于d轨道与吸附质价轨道的轨道杂化。吸附物(如O₂的π轨道或CO的2π轨道)接近金属表面时,与金属d轨道形成成键态(低能级)和反键态(高能级)。若反键态位于费米能级以下并被电子占据,则成键被削弱,吸附能较弱;若反键态在费米能级以上未被占据,则成键增强,吸附能更负。这一过程完全由εd位置决定:εd上移使反键态上移、更难填充,导致吸附强化;εd下移则相反。这一杂化模型不仅解释了Sabatier原理的电子起源,还揭示了为什么Pt等贵金属在火山曲线峰值附近表现出色其εd恰好平衡活化与脱附。

https://www.nature.com/articles/srep35916

催化活性随吸附能(或εd)呈现经典火山曲线(Volcano Plot),这是d带理论最直观的预测工具。火山左侧为强吸附区(εd过高),中间体难以脱附导致活性下降;右侧为弱吸附区(εd过低),反应物活化不足;峰值对应适中吸附能,活性最高。这一曲线直接源于Sabatier原理,但d带中心将其电子结构化:活性A ≈ -|ε_d - ε_opt|(ε_opt为最优位置)。DFT结合PDOS可精确绘制火山图,帮助快速筛选催化剂,避免盲目实验。在ORR中,火山峰对应ΔG_OH* ≈ 0.8-1.0 eV的中间体吸附;HER中则对应H*吸附自由能接近零。火山图的强大之处在于,通过少数关键吸附能即可预测整个反应路径的活性趋势,大幅加速催化剂优化。

d带中心的精准调控是理论走向实践的关键,其上移或下移源于多种微观机制。上移(增强吸附)的原因包括:拉伸应变(d带变窄)、低配位数原子(缺陷、边缘、台阶处d轨道重叠减弱)、电负性差异的电子抽取效应、氧空位等缺陷工程以及界面电场诱导的电子转移。下移(减弱吸附)则对应压缩应变(d带变宽)、高配位数、相转变(如CoSe₂从立方到正交相)、强金属-载体相互作用(电子向载体转移)以及B、N等轻元素掺杂的p-d杂化。这些调控手段已在合金化(Vegard定律近似:ε_d,alloy ≈ x·ε_d,A + (1-x)·ε_d,B)、应变工程、单原子催化剂配位设计中广泛验证。例如,Ni-Co₃O₄通过氧空位上移ε_d增强H*吸附;Pt/WO₃通过载体相互作用下移ε_d优化脱附平衡。深刻理解这些机制,能实现从“被动筛选”到“主动设计”的跨越。

https://www.nature.com/articles/srep35916

实际应用中,d带中心理论已催生诸多突破。以HER为例,Pt的εd接近最优,但Ni因εd过高导致H吸附过强;通过PtM合金或应变调控下移εd,可将活性提升至媲美Pt。ORR中,PtFe有序合金通过压缩d轨道上移εd,优化OOH/OH*脱附,半波电位提升超50 mV。CO氧化中,Au/FeOₓ界面电子转移下移Au的εd,打破Au对CO的惰性,实现低温高效氧化。CO还原中,PtCu合金通过Cu掺杂精细调控εd,避免碳中毒,同时提升C₂产物选择性。这些案例证明:d带中心不仅是描述符,更是分子级开关,结合机器学习和原位谱学(如XAS),可预测复杂合金的局部εd,进一步推动非贵金属、单原子催化剂的工业化。

(https://www.nature.com/articles/s41467-024-50377-y)

尽管d带中心理论强大,但仍存在局限:在强关联体系(如氧化物)、溶剂化环境或动态表面重构下,静态DFT计算可能偏差;标度关系也存在“破火山”现象。未来,通过原位表征、机器学习加速筛选以及多尺度模拟,该理论将与AI催化剂设计深度融合,推动绿色氢能、碳中和等领域的革命性进展。d带中心理论真正架起了电子结构与宏观性能的桥梁,让催化剂设计从走向科学

相关推荐

登录即可解锁
  • 海量技术文章
  • 设计资源下载
  • 产业链客户资源
  • 写文章/发需求
立即登录

成都西蒙至简科技有限公司是由天府绛溪实验室孵化的创新型科研服务平台,公司融合产学研优势,提供第一性原理、量子化学、分子动力学、有限元仿真等各大类模拟计算与CPU/GPU租赁、服务器定制、集群搭建等超算服务、各大类实验检测与数据分析、培训与技术解决方案。团队成员多数来自电子科技大学和绛溪实验室,涵盖物理学、理论化学、计算化学、计算材料科学、数值模拟与人工智能等学科的资深专家,熟悉材料、化工、能源、生物医药等诸多领域,通过精准梳理行业痛点,提供高效落地的研发解决方案,助力高校、科研院所以及相关企业实现降本增效、研发升级及创新能力的突破。